CAS No. 40623-75-4
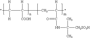
Structural Formula:

Properties:
AA/AMPS is the copolymer of acrylic acid and 2-acrylanmido-2-methylpropanesulfonic acid. Due to including carboxylic group (scale inhibition and dispersion) and sulfonic acid group (strong polarity) in this copolymer, AA/AMPS has high calcium tolerance and good scale inhibition for calcium phosphate, calcium carbonate and zinc scale. When built with organophosphines, the synergic effect is obvious. AA/AMPS is suitable to be used in water quality of high pH and high alkaline, it is one of the ideal scale inhibitors and dispersants on high concentration index.
Specification:
|
Items |
Index |
|
|
Appearance |
Colorless to light yellow viscous liquid |
Colorless to light yellow viscous liquid |
|
Solid content % |
30.0 min |
40.0 min |
|
Free monomer (as AA)% |
0.50 max |
0.50 max |
|
Density (20℃)g/cm3 |
1.05 min |
1.15 min |
|
pH(1% water solution) |
3.0 max |
3.5-4.5 |
Usage:
AA/AMPS can be used as scale inhibitor and dispersant in open circulating cool water system, oilfield refill water system, metallurgy system and iron & steel plants to prevent sediment of ferric oxide. When built with organophosphorines and zinc salt, the suitable pH value is 7.0~9.5.
AA/AMPS can also be used as dyeing auxiliaries for textile.
Package and Storage:
AA/AMPS liquid: 200L plastic drum,IBC(1000L),customers’ requirement.
AA/AMPS solid: 20kg/bag, customers‘ requirement. Storage for twelve months in shady room and dry place.
Safety and protection:
AA/AMPS is acidic. Pay attention to labor protection during operation. Avoid contact with skin, eyes, etc., and rinse with plenty of water after contact .
Synonyms:
AA-AMPS; AA-AMPSA; Acrylic Acid-2-Acrylamido-2-Methylpropane Sulfonic Acid Copolymer; Sulfonated Polyacrylic Acid Copolymer;
Acrylic Acid- 2-Acrylanmido-2- methylpropanesulfonicacid Copolymer
2 acrylamido 2 methylpropane sulfonic acid copolymer
40623 75 4
aa-amps
cas 40623 75 4





